Skip to main content

ATANH Function

Computes the arctangent of an input value for a hyperbolic angle measured in radians. The value can be a Decimal or Integer literal or a reference to a column containing numeric values.

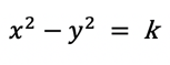
A hyperbola is the shape created by taking a planar slice of two cones whose tips are touching each other. For two identical cones, the curves of the slices mirror each other, no matter the angle of the plane through the cones.

  • The two slices represent the set of points on a grid such that:

    Eq-HyperbolicTrig-HyperbolaDef.png

    where k is some constant.

  • The hyperbolic trigonometric functions measure trigonometric calculations for the right-side (x > 0) slice of the hyperbola.

  • For more information, see https://en.wikipedia.org/wiki/Hyperbola.

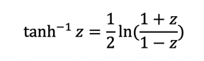
The hyperbolic arctangent (ATANH) function is computed using the following formula:

Eq-HyperbolicTrig-ATANH.png

You can convert from degrees to radians. For more information, see RADIANS Function.

Wrangle vs. SQL: This function is part of Wrangle, a proprietary data transformation language. Wrangle is not SQL. For more information, see Wrangle Language.

Basic Usage

Numeric literal example:

round(degrees(atanh(0.5)), 2)

Output: Returns the computation of the hyperbolic angle in radians whose tangent is 0.5. The output value is rounded to two decimals: 31.47.

Column reference example:

atanh(X)

Output: Returns the hyperbolic angle the tangent value for which is stored in radians in X column.

Syntax and Arguments

atanh(numeric_value)

Argument

Required?

Data Type

Description

numeric_value

Y

string, decimal, or integer

Name of column, Decimal or Integer literal, or function returning those types to apply to the function

For more information on syntax standards, see Language Documentation Syntax Notes.

numeric_value

Name of the column, Integer or Decimal literal, or function returning that data type to apply to the function.

  • Missing input values generate missing results.

  • Literal numeric values should not be quoted. Quoted values are treated as strings.

  • Multiple columns and wildcards are not supported.

Usage Notes:

Required?

Data Type

Example Value

Yes

String (column reference) or Integer or Decimal literal

0.5

Examples

Tip

For additional examples, see Common Tasks.

Example - Hyperbolic arc trigonometry functions

This example illustrates how to apply inverse (arc) hyperbolic functions to your transformations.

Functions:

Item

Description

ASINH Function

Computes the arcsine of an input value for a hyperbolic angle measured in radians. The value can be a Decimal or Integer literal or a reference to a column containing numeric values.

ACOSH Function

Computes the arccosine of an input value for a hyperbolic angle measured in radians. The value can be a Decimal or Integer literal or a reference to a column containing numeric values.

ATANH Function

Computes the arctangent of an input value for a hyperbolic angle measured in radians. The value can be a Decimal or Integer literal or a reference to a column containing numeric values.

Also:

Item

Description

ROUND Function

Rounds input value to the nearest integer. Input can be an Integer, a Decimal, a column reference, or an expression. Optional second argument can be used to specify the number of digits to which to round.

DEGREES Function

Computes the degrees of an input value measuring the radians of an angle. The value can be a Decimal or Integer literal or a reference to a column containing numeric values.

NULL Function

The NULL function generates null values.

Source:

In the following sample, input values are in radians. In this example, all values are rounded to two decimals for clarity.

Y

-4.00

-3.00

-2.00

-1.00

-0.75

-0.50

0.00

0.50

0.75

1.00

2.00

3.00

4.00

Transformation:

The following transformations include checks for the valid ranges for input values.

Hyperbolic arcsine:

Transformation Name

New formula

Parameter: Formula type

Single row formula

Parameter: Formula

round(degrees(asinh(Y)), 2)

Parameter: New column name

'asinhY'

Hyperbolic arccosine:

Valid over the range (y > 1)

Transformation Name

New formula

Parameter: Formula type

Single row formula

Parameter: Formula

if(Y>1,round(degrees(acosh(Y)), 2),null())

Parameter: New column name

'acoshY'

Hyperbolic arctangent:

Valid over the range (-1 < y < 1)

Transformation Name

New formula

Parameter: Formula type

Single row formula

Parameter: Formula

if(abs(y)<1,round(degrees(atanh(Y)), 2),null())

Parameter: New column name

'atanhY'

Results:

Y

atanhY

acoshY

asinhY

-4

null

null

-120.02

-3

null

null

-104.19

-2

null

null

-82.71

-1.5

null

null

-68.45

-1

null

null

-50.5

-0.75

-55.75

null

-39.71

-0.5

-31.47

null

-27.57

0

0

null

0

0.5

31.47

null

27.57

0.75

55.75

null

39.71

1

null

null

50.5

1.5

null

55.14

68.45

2

null

75.46

82.71

3

null

101

104.19

4

null

118.23

120.02