Skip to main content

SINH Function

Computes the hyperbolic sine of an input value for a hyperbolic angle measured in radians. The value can be a Decimal or Integer literal or a reference to a column containing numeric values.

A hyperbola is the shape created by taking a planar slice of two cones whose tips are touching each other. For two identical cones, the curves of the slices mirror each other, no matter the angle of the plane through the cones.

  • The two slices represent the set of points on a grid such that:

    Eq-HyperbolicTrig-HyperbolaDef.png

    where k is some constant.

  • The hyperbolic trigonometric functions measure trigonometric calculations for the right-side (x > 0) slice of the hyperbola.

  • For more information, see https://en.wikipedia.org/wiki/Hyperbola.

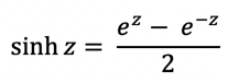
The hyperbolic sine (SINH) function is computed using the following formula:

Eq-HyperbolicTrig-SINH.png

Hyperbolic cosecant:

The hyperbolic cosecant is the following:

Eq-HyperbolicTrig-CSCH.png

You can convert from degrees to radians. For more information, see RADIANS Function.

Wrangle vs. SQL: This function is part of Wrangle, a proprietary data transformation language. Wrangle is not SQL. For more information, see Wrangle Language.

Basic Usage

Numeric literal example:

round(sinh(radians(30)),3)

Output: Returns the computation of the hyperbolic sine of a 30-degree angle, which is converted to radians before being passed to the SINH function. The output value is rounded to three decimals: 0.548.

Column reference example:

sinh(X)

Output: Returns the hyperbolic sine of the radians values in X column.

Syntax and Arguments

sinh(numeric_value)

Argument

Required?

Data Type

Description

numeric_value

Y

string, decimal, or integer

Name of column, Decimal or Integer literal, or function returning those types to apply to the function

For more information on syntax standards, see Language Documentation Syntax Notes.

numeric_value

Name of the column, Integer or Decimal literal, or function returning that data type to apply to the function.

  • Missing input values generate missing results.

  • Literal numeric values should not be quoted. Quoted values are treated as strings.

  • Multiple columns and wildcards are not supported.

Usage Notes:

Required?

Data Type

Example Value

Yes

String (column reference) or Integer or Decimal literal

0.5

Examples

Tip

For additional examples, see Common Tasks.

Example - Hyperbolic trigonometry functions

This example illustrates how to apply hyperbolic trigonometric functions to your transformations. All of the functions take inputs in radians.

Functions:

Item

Description

SINH Function

Computes the hyperbolic sine of an input value for a hyperbolic angle measured in radians. The value can be a Decimal or Integer literal or a reference to a column containing numeric values.

COSH Function

Computes the hyperbolic cosine of an input value for a hyperbolic angle measured in radians. The value can be a Decimal or Integer literal or a reference to a column containing numeric values.

TANH Function

Computes the hyperbolic tangent of an input value for a hyperbolic angle measured in radians. The value can be a Decimal or Integer literal or a reference to a column containing numeric values.

The following functions can be computed based on the inverse of the above functions:

  • Hyperbolic Cotangent. Computed as 1/TANH.

  • Hyperbolic Secant. Computed as 1/COSH.

  • Hyperbolic Cosecant. Computed as 1/SINH.

Also:

Item

Description

ROUND Function

Rounds input value to the nearest integer. Input can be an Integer, a Decimal, a column reference, or an expression. Optional second argument can be used to specify the number of digits to which to round.

RADIANS Function

Computes the radians of an input value measuring degrees of an angle. The value can be a Decimal or Integer literal or a reference to a column containing numeric values.

DIVIDE Function

Returns the value of dividing the first argument by the second argument. Equivalent to the / operator.

Source:

In the following sample, input values are in degrees:

X

-30

0

30

45

60

90

120

135

180

Transformation:

In this example, all values are rounded to three decimals for clarity.

First, the above values in degrees must be converted to radians.

Transformation Name

New formula

Parameter: Formula type

Single row formula

Parameter: Formula

round(radians(X), 3)

Parameter: New column name

'rX'

Hyperbolic Sine:

Transformation Name

New formula

Parameter: Formula type

Single row formula

Parameter: Formula

round(sinh(rX), 3)

Parameter: New column name

'SINHrX'

Hyperbolic Cosine:

Transformation Name

New formula

Parameter: Formula type

Single row formula

Parameter: Formula

round(cosh(rX), 3)

Parameter: New column name

'COSHrX'

Hyperbolic Tangent:

Transformation Name

New formula

Parameter: Formula type

Single row formula

Parameter: Formula

round(tanh(rX), 3)

Parameter: New column name

'TANHrX'

Hyperbolic Cotangent:

Transformation Name

New formula

Parameter: Formula type

Single row formula

Parameter: Formula

round(divide(1, tanh(rX)), 3)

Parameter: New column name

'COTHrX'

Hyperbolic Secant:

Transformation Name

New formula

Parameter: Formula type

Single row formula

Parameter: Formula

round(divide(1, cosh(rX)), 3)

Parameter: New column name

'SECHrX'

Hyperbolic Cosecant:

Transformation Name

New formula

Parameter: Formula type

Single row formula

Parameter: Formula

round(divide(1, sinh(rX)), 3)

Parameter: New column name

'CSCHrX'

Results:

X

rX

TANHrX

COTHrX

COSHrX

SECHrX

SINHrX

CSCHrX

-30

-0.524

-0.481

-2.079

1.14

0.877

-0.548

-1.825

0

0

0

null

1

1

0

null

30

0.524

0.481

2.079

1.14

0.877

0.548

1.825

45

0.785

0.656

1.524

1.324

0.755

0.868

1.152

60

1.047

0.781

1.28

1.6

0.625

1.249

0.801

90

1.571

0.917

1.091

2.51

0.398

2.302

0.434

120

2.094

0.97

1.031

4.12

0.243

3.997

0.25

135

2.356

0.982

1.018

5.322

0.188

5.227

0.191

180

3.142

0.996

1.004

11.597

0.086

11.553

0.087